728x90
변수간의 시너지 효과
예) 비타민과 다른영향제를 같이 먹으면 건강이 더 좋아지는 효과
X1과 X2는 Y에 영향을 끼치지는 않지만, X1과 X2가 결합됨으로써 Y에 중요한 영향을 끼칠 수 있음.
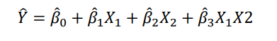
X1, X2, 그리고 X1과 X2의 교호작용에 대해서 회귀 모델 방정식은 다음과 같이 쓸 수 있음

교호작용은 일반적으로 도메인지식에 근거하여 추가하여야함.
* 교호작용이 있을 것 같은 변수들을 내 생각에 근거하여 추가한다.

명목형 변수(Dummy variable)
성별, 대학, 지역 등 명목형 변수의 경우 전처리가 필요함.
예시) X(학력)와 Y(수입의 관계)

회귀계수 해석
- B1 800 : 최종학력이 대학교인 사람은 고등학교인 사람에 비해 평균적으로 연봉이 800 높다.
- B2 2,800 : 최종학력이 대학원인 사람은 고등학교인 사람에 비해 평균적으로 연봉이 2,800 높다.
반응형
'Machine learning' 카테고리의 다른 글
| [기계학습]다항 회귀 분석 ( 비선형 회귀 분석 ) (0) | 2020.06.16 |
|---|---|
| [기계학습]회귀분석의 진단 ( nomal Q-Q plot ,Residual vs Fitted, Residuals 산점도 ) (0) | 2020.06.16 |
| [기계학습] 변수 선택법 ( Feedforward Selection , Backward Elimination , Stepwise) (0) | 2020.06.16 |
| [기계학습]모형의 성능 지표 ( MSE , MAPE , 정확도,정밀도,재현율,특이도 , F1 measure , ROC Curve) (1) | 2020.06.15 |
| [기계학습]다중공선성 , 회귀모델의 성능지표 ( AIC , BIC ) (0) | 2020.06.12 |